近日,徐锡金/王晓在气敏传感领域取得重要研究进展,相关工作以题为" Regulating the d-Band Center of an FeCu/NC Dual-Metal Catalyst for Self-Powered and Smart Sensing of Oxidizing and Reducing Gas"的研究论文发表于期刊ACS Sensors(https://doi.org/10.1021/acssensors.5c02143)上,中科院分区一区,影响因子9.1。
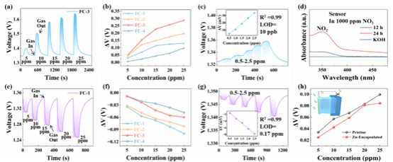
本研究构建了基于锌-空气电池(ZABs)的自供电气体传感器,以双金属FeCu/N为催化剂,通过对三相界面处电化学反应的调控实现了对氧化性气体及还原性气体的检测。Cu金属催化剂具有可调谐的电子构型、优良的选择性和高稳定性,可以有效促进氧化性气体(NO2)的催化还原。此外,该Cu金属催化剂对H₂S等还原性气体具有强化学亲和力,能形成相对稳定的Cu-S键,有利于H₂S气体传感。然而,Cu的d带中心位于低于费米能级的能量位置,且其反键轨道电子占据率较高,这削弱了其与NO₂等气体分子的化学键合能力,导致了相对较高的能量势垒。Fe金属催化剂因其在费米能级处具有丰富的d轨道态密度,具有优异的催化活性。因此,将Fe掺入Cu金属催化剂有望通过将d能带中心向费米能级移动来调节Cu催化剂的电子结构,显著促进电子向NO₂气体分子的转移,从而增强NO₂气体吸附与催化还原活性。Fe纳米颗粒通过与氧原子形成共价键,促进NO₂气体在双金属催化剂上的吸附,显著加速催化剂与目标气体间的电荷转移与重分布。此外,Fe的掺入还降低了Cu催化剂NO₂还原反应的吉布斯自由能,并使d带中心向上移至费米能级,大幅提升气体吸附与催化活性。基于ZABs的传感器在室温(RT)和25%相对湿度(RH)条件下,展现出对NO₂气体的高灵敏度(0.16 V@10 ppm)和快速响应过程(40秒)。此外,基于ZAB的传感器在RT条件下对还原性气体(H₂S)也表现出高响应(0.1 V@25 ppm)。H₂S气体将被化学吸附在FeCu/NC催化剂表面形成Cu–S键,导致开路电压(OCV)明显下降(图1b)。最终,该自供电气体传感器被集成至智能传感装置中,该装置包含STM32微控制器、WiFi模块及显示设备,可实现NO₂气体的实时远程检测。

图1. 传感装置制备、工作原理及应用

图2. FC-3传感器在室温下对NO₂气体的动态响应过程及FC-1传感器在室温下对H₂S气体的动态响应过程
撰稿:王晓 编辑:弋媛 审核:徐锡金